首 页
部门概况
学科建设
研究生招生
研究生培养
学位工作
同等学力管理
下载中心
2026年招生
首页
>>
研究生招生
>>
硕士招生
>>
2026年招生
>> 内容浏览
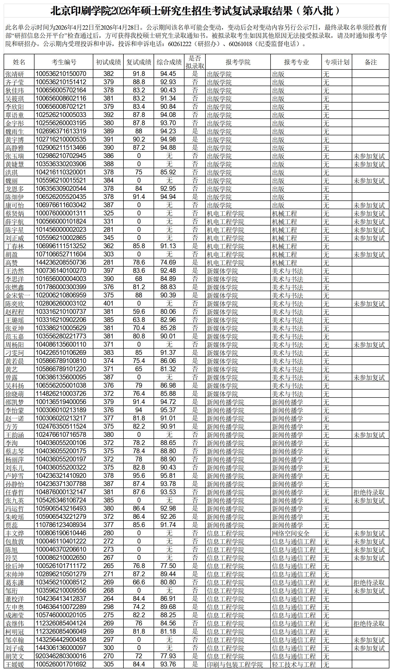
北京印刷学院2026年硕士研究生招生考试复试录取结果(第八批)
时间:2026-04-22 来源:研究生院 编辑录入:招生办